Основание: протокол Коллегиального совета НКО «Гарантийный фонд РО» от 26.02.2026 № 192
Форма: отбор Банков - запрос предложений процентной ставки по лоту, в соответствии с Положением о порядке отбора банков для размещения денежных средств НКО «Гарантийный фонд РО» во вклады (депозиты), утвержденным решением Коллегиального совета НКО «Гарантийный фонд РО» от 23.12.2025 № 190.
Место приема заявок: г. Ростов-на-Дону, ул. Седова зд. 6, оф. 803, на имя исполнительного директора НКО «Гарантийный фонд РО» – Соина Романа Владимировича.
Дата начала приема заявок: «27» февраля 2026 г.
Дата окончания приема заявок: «03» марта 2026 г.
Документы принимаются по следующему графику:
Пн.- Чт. 9.00 до 18.00 (перерыв: 13.00 до 13.45)
Птн. 9.00 до 16.45 (перерыв: 13.00 до 13.45)
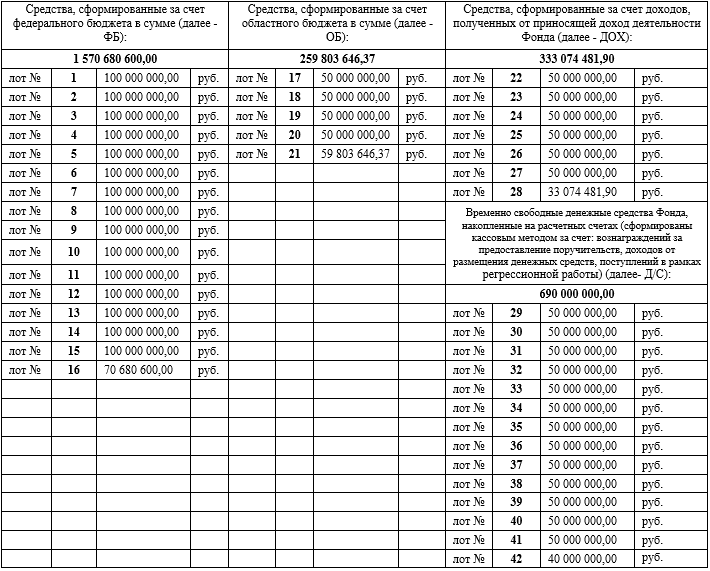
Суммы и лоты отбора: в общей сумме – 2 853 558 728 (два миллиарда восемьсот пятьдесят три миллиона пятьсот пятьдесят восемь тысяч семьсот двадцать восемь рублей) 27 копеек.
Форма: отбор Банков - запрос предложений процентной ставки по лоту, в соответствии с Положением о порядке отбора банков для размещения денежных средств НКО «Гарантийный фонд РО» во вклады (депозиты), утвержденным решением Коллегиального совета НКО «Гарантийный фонд РО» от 23.12.2025 № 190.
Место приема заявок: г. Ростов-на-Дону, ул. Седова зд. 6, оф. 803, на имя исполнительного директора НКО «Гарантийный фонд РО» – Соина Романа Владимировича.
Дата начала приема заявок: «27» февраля 2026 г.
Дата окончания приема заявок: «03» марта 2026 г.
Документы принимаются по следующему графику:
Пн.- Чт. 9.00 до 18.00 (перерыв: 13.00 до 13.45)
Птн. 9.00 до 16.45 (перерыв: 13.00 до 13.45)
Суммы и лоты отбора: в общей сумме – 2 853 558 728 (два миллиарда восемьсот пятьдесят три миллиона пятьсот пятьдесят восемь тысяч семьсот двадцать восемь рублей) 27 копеек.
Срок, на который денежные средства (по каждому из лотов) размещаются во вкладах (депозитах):
- 180 календарный день
Срок рассмотрения Заявок на предмет соответствия требованиям Положения и оценки предложений Банков-участников: 2 (два) рабочих дня
Срок определения результатов отбора: не позднее 3 (трех) рабочих дней
Срок заключения договора банковского вклада (депозита) с победителями отбора: в течение 5 (пяти) рабочих дней с даты уведомления банка о результатах отбора
Контактное лицо: первый заместитель исполнительного директора НКО «Гарантийный фонд РО» – Крижановская Елена, тел. 280-04-06 (доб. 123), 8 918 5600435, эл. адрес: info@dongarant.ru
Приложение: ПОЛОЖЕНИЕ размещено на сайте НКО «Гарантийный Фонд РО» в разделе «Депозиты» https://dongarant.ru/depozityi
- 180 календарный день
Срок рассмотрения Заявок на предмет соответствия требованиям Положения и оценки предложений Банков-участников: 2 (два) рабочих дня
Срок определения результатов отбора: не позднее 3 (трех) рабочих дней
Срок заключения договора банковского вклада (депозита) с победителями отбора: в течение 5 (пяти) рабочих дней с даты уведомления банка о результатах отбора
Контактное лицо: первый заместитель исполнительного директора НКО «Гарантийный фонд РО» – Крижановская Елена, тел. 280-04-06 (доб. 123), 8 918 5600435, эл. адрес: info@dongarant.ru
Приложение: ПОЛОЖЕНИЕ размещено на сайте НКО «Гарантийный Фонд РО» в разделе «Депозиты» https://dongarant.ru/depozityi